Proteksi Gugus Fungsi Dalam Sintesis Senyawa Organik
Proteksi Gugus Fungsi Dalam Sintesis Senyawa Organik
Proteksi merupakan suatu perlindungan terhadap gugus fungsional tertantu dalam sebuah reaktan. Adanya proteksi ini karena suatu gugus fungsi dapat menggangu gugus fungsi ataupuntempat lan dalam suatu molekul yang kompleks.
Maka dari itu, dapat disimpulkan bahwa gugus pelindung atau gugus proteksi merupakan suatu gugus fungsional yang digunakan untuk melindungi gugus tertentu supaya tidak turut bereaksi dengan pereaksi atau pelarut selama proses sintesis kimia berlangsung. Gugus pelindung tersebut ditambahkan ke dalam molekul melalui modifikasi kimia pada suatu gugus fungsi untuk mencapai kemoselektivitas pada reaksi kimia selanjutnya. Sehingga gugus ini mempunyai peranan yang sangat penting dalam sintesis organik dalam banyak tahap atau multitahap.
Suatu senyawa dapat berperan sebagai gugus pelinding apabila telah memiliki syarat yaitu :
1. 1. Mudah dimasukkan dan mudah dihilangkan
2. 2. Resisten terhadap reagen yang akan menyerang gugus fungsional yang tidak terlindungi
3. 3. Sedapat mungkin resisten terhadap berbagai macam varietas reagen.
4. 4. Stabil dan hanya bereaksi dengan pereaksi khusus untuk mengembalikann gugus fungsi aslinya.
Berikut ini adalah tabel gugus-gugus pelindung yang telah mempunyai syarat-syarat untuk menjadi gugus pelindung :
Proteksi melibatkan 3 langkah reaksi yaitu:
a. 1. Pembentukan suatu turunan yang inert ( direaksikan dengan gugus proteksi )
b. 2. Menjalankan reaksi yang dinginkan
c. 3. Melepaskan kembali gugus proteksi
Contoh :
a. Proteksi gugus pengganggu (pembuatan asam siklik)
b. Menjalankan reaksi yang dinginkan (reaksi dengan 2 PhMGBr)
c. Melepaskan kembali gugus proteksi atau pelindung (pelepasan etilenglikol)
Contoh selanjutnya dari perlindungan gugus fungsi:
Pada sintesis MT-1 nya ini berdasarkan diskoneksi tersebut, reagen Grignard dapat menyerang suatu karbonil keton yag lebih reaktif sehingga prouk yang dihasilkannya pun salah. Maka dari itu, untuk menghindari hal tersebut terlebih dahulu gugus keton harus dilindungi.
Contoh lain:
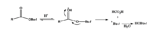
Sintesis alkohol dari ketoester
Ester t-butil sangat mudah dihidrolisis dalam suasana asam. Ester merupakan gugus pelindung yang baik untuk melindungi alkohol dan asam.
Suatu ester benzyl dapat diputus dengan hidrogenolisis
2-(trimetilsisil)esteretoksimetil biasanya dipecah dengan HF dalam asetonitril oleh ion fluoride
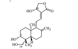
Contoh lain yang saya temukan dalam jurnal yaitu sintesis senyawa turunan Andrografolid dengan modifikasi pada gugus hidroksil C-14. berikut ini merupakan struktur dari Andrografolid
Permasalahan :
1. Mengapa gugus pelindung sangat berperan penting dalam sintesis kimia?
2. Dalam suatu reaksi pada gugus fungsi, menurut anda dimana kita harus menambahkan gugus pelidung?
3. Mengapa ester dikatakan sebagai gugus pelindung yang baik untuk melindungi alkohol dan asam.
Link youtube : https://youtu.be/zYy2QP5pHqk







baiklah saya mitha udhiyah izin menjawab pertanyaan nomor 1. Dikatakan bahwa gugus proteksi atau biasa disebut gugus pelindung merupakan suatu gugus yang mempunyai peranan penting dalam sintesis kimia. Hal ini disebabkan karena gugus pelindung digunakan untuk melindungi sutu gugus agar gugus tersebut tidak ikut bereaksi dengan pelarut selama proses sistesis kimia berlangsung
BalasHapusBaiklah saya Lenny Friskha Tamba dengan NIM A1C119035, izin menjawab permasalahan no.3. Ester merupakan senyawa kimia yang memiliki sifat mudah menguap, sukar larut dalam air (polar) dan dapat menghasilkan senyawa yang berbau harum. Dikatakan sebaga gugus pelindung yang baik adalah karena ester sangat mudah dihidrolisis dalam suasana yang asam.
BalasHapus